lab research
At a high level, our research is focused on 1) conservation ecology of native
semi-aquatic and aquatic species in western Canada, and 2) the health of their
habitats. Cognizant of the lands we live and work on, we strive to work in a good way
with local First Nations and Métis individuals, communities, and organizations
(e.g., UToday article).
Over the next five years (2026-2030), together with
(Dr. Ben Barst) and
local First Nations communities in the Treaty 7 region,
we will be examining the health of the Bow and Oldman Rivers from headwaters to prairies,
with an eye to performing targeted conservation translocations of bull trout in an attempt
to restore populations at sites within their historical range. As mentioned in this
UToday article,
Dr. Barst will focus on water quality and trace metals and we will focus on diversity and
health of aquatic macroinvertebrates as indicators of site health and capacity to
sustain fish populations.
Some recent investigations include beaver impacts on aquatic macroinvertebrate diversity
and mercury levels in water and dragonfly larvae (Grégoire, in progress), a multi-year examination of the status and long-term
viability of long-toed salamanders in the Bow and Kananaskis Valleys
(Baumgartner, 2024),
Pacific salmon and ecosystem function through Western science and Indigenous, Teslin
Tlingit knowledge
(Connoy et al., 2024),
and population genetics of bull trout in protected headwaters
(Carroll & Vamosi, 2021).

Marine-derived nitrogen levels are significantly higher at a site where Chinook salmon
historically spawned (Positive Control) than where they were absent
(Negative Control), underscoring the ecosystem-wide consequences of their crash
(for more, see
Connoy et al., 2024).

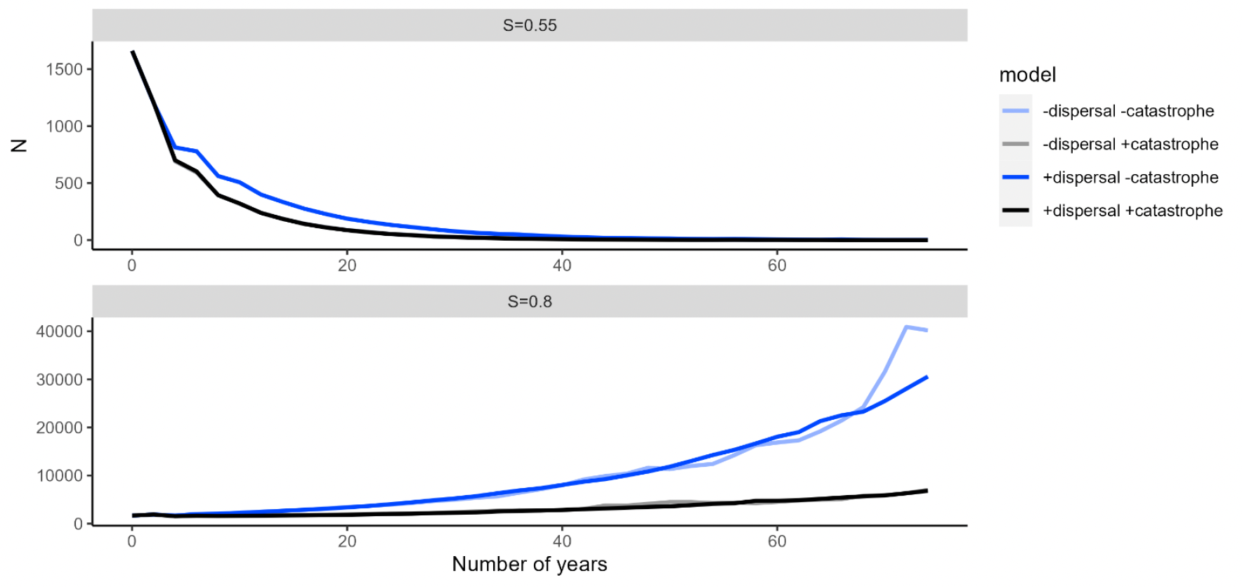
Results of population viability analyses underscoring the importance of high adult survival,
dispersal, and an absence of catastrophes (e.g., severe drought) for the
long-term persistence of long-toed salamanders (for more, see
Baumgartner, 2024).
Climate change and ongoing development in the region negatively impact all three factors.
lab EDI statement
Our research is better when we include people with diverse experiences, backgrounds, and ways of thinking and interacting with the natural world. Accordingly, we seek to recruit, support, and mentor members from diverse backgrounds, with an active focus on folks from historically marginalized groups. The sciences have not always been a welcoming space for everyone, and we actively work to create an inclusive environment. We also acknowledge that doing so is a lifelong journey, not a “one and done” item to be crossed off a checklist.